この画像を大きなサイズで見る10月31日と言えば、ハロウィンにばかり気を取られていたら、日本では天才の日でもあるという。お受験企業Z会では、今日から「日本一の天才高校生を決めるコンテスト」をはじめたそうで、高校生へ大人の力を見せつけるため、この問題を解いてくれないかとの挑戦状がカラパイアにも届いた。
てことで文系だからという逃避ワードでパルモは逃げることにするので、わかるおともだちがいたら正解をコメント欄に書き入れてくれるとうれしいんだ。
この画像を大きなサイズで見るなんかの呪文のようにしか見えないわけだが、あとのことはみんなにまかせるよ。尚解答は11月中旬以降にWebサイトで発表されることになっている。その前にカラパイア数式処理班のおともだちがとっとと解いちゃってくれることを願ってぐっとらっくん。
ということで現役の高校生のおともだちの場合には、同じ高校のおともだちと3人1組となって、超難問に挑戦し、日本一の天才高校生の名誉を手にするのもいいのかもしれない。

追記:コメント欄にて早くも解答を出してくれたおともだちがいたので、参考までにここに載せておくね。こんなにすぐに解けてしまうおともだちがいるなんてびっくりだよ。Z会の中の人も「挑戦状」とかいってヘヘーンって感じだったから、もしこれが正解だったら冷や汗ものなんじゃないかな。
まあパルモは相変わらずこれをみてもさっぱりなんのことやらわからないけど、数式ってなんか呪文みたいでかっこいいね!
この画像を大きなサイズで見る















8.00404か
たんたんたんたんたんたんたんたんたんたんたんたんたんたんたん!!
1275°
360°(4コずつ)消していくんか
おまえらすげえ。解答の糸口とかすぐにわかるとか。オレにはまったくなんのことやら、たんたんんたんじぇんとわからなかったぜ。
加法定理かなんかで解けんのかな?
高校数学じゃねーか
3分かかった
足して170度になるペアが6つ存在するね。
(でも肝心の定理を覚えていないので解けない…)
1+2+3+…+97+98+99
と同じ考え方で解ける
実は・・・オレのいた商業高ではsin・cos・tanって習わなかったんだ
Tan90は定義されてないけどtan1とtan169は+-が逆の値。だからtan85 を計算すればよいのでは?
英語は苦手です。
数学なら解けるのに。
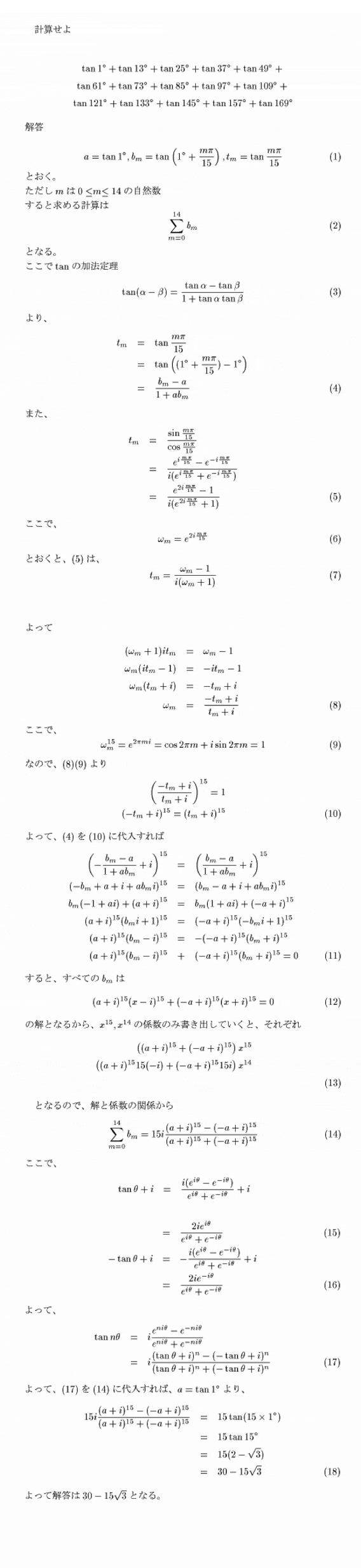
あれ、計算過程書いたのにコメント反映されない?簡略化した解答
解き方:tanの加法定理を元に、a=tan1°, b_m=tan(1°+mπ/15)とtan(mπ/15)の間の式を得る
exp(im2π/15)をtan(mπ/15)であらわし、exp(imπ/15)がx^15-1=0の解であることから
tan(mπ/15)の15次方程式、ついでb_1~b_15を解に持つ15次方程式を得る。
あとは、解と係数の関係からb_1~b_15の和が15tan(15・1°)=15(2-√3)となり
答えは15(2-√3)
高校の時 数学の先生に「お前みたいなやつは町工場で働け」と言われた
で 卒業してから職業訓練を受けて町工場へ就職した
ttp://www.dotup.org/uploda/www.dotup.org4626036.txt
詳しい計算過程のリンク。テキストだから読みにくいけどすまん
電卓使ったら4.019…てなる。さっぱりわからない。
10(テン)31(さい)…なんちゃって…
ちゃんと読んでないけど結構消えそう
tan360=0だから340+20の組み合わせをしていけば簡単に解が出せるのヒントで3に書き込みしたんだけど
※20
ヒントもクソも、それじゃ解は出ねえよ
>>26
オッさんがアホだから?
パッとみでもある法則使えばtan85°しか残らないのだがw
4.なんとかってる奴、大間違えだよ!
全部足して tan1275° それをtan60°が20個 tan45°が1個 tan30°が一個。
よって √3*20+1+1/√3で・・・
高卒だからわかりまてん
1秒でわかったわ
答えはタンだろ。
にほんごじゃないとわかりません
んで、これ何を求める式なん?
※24
数式の見せるロマン
なるほどね(錯乱)
これとけても天才ではないだろ。
ただの単純作業。
たん・・じぇじぇじぇっ!!
カスタネットの音が頭の中で鳴りまくっている。
上のtxt解答を投稿したものです。TeXで書いてPDF化しましたので、こちらのほうが
わかりやすいかと思います。
ttp://www.dotup.org/uploda/www.dotup.org4626436.pdf
まさか
tanA+tanB=tan(A+b)
だと思ってるアホはいないよな?
三角関数表を使います。誰でも出来ます。
↓(一生懸命探した。一生懸命足し算した。)
・・・どうやら91°以上が載ってる表が無いようだorz
約4.01923789ですね。
天才でなくとも、時間さえかければ難しくないですよ。
天才って多分これを暗算とかするような人のことを言うのでは?
だから数学は嫌いなんだよ
まったく分らん。
諦めてエクセルに投げたわ。
ああ、なるほど
俺には必要ないわ
うん。余裕余裕あれでしょ。公式使えばいいんでしょ。あっ、もう答え出てるのね。残念だなーわかったのになー。悔しいなー。
幾何学的に解けると面白そうだな。
うんたんうんたん♪♪
うん、大体回答は合ってるな、あとはコレが生活に役立つか考えよう
関数電卓でおk
高校生って時点で加法定理だなって予測できちゃうからなー
高校の段階でオイラーの公式使うもんなんだなぁ…
ぱるもさん。
自分には全くちんぷんかんぷんだけど、カラパイアの皆が勝ったらいいなで この回答でたらぜひぜひ記事にしてくださいね(*´∇`*)
とりあえず焼肉で塩タン食べたくなるのだけはわかった。
4.019237886関数電卓って天才!
ポケコンで計算したら4.019237887でした。けどこれ関数電卓とかポケコンなしでやれっていわれたら泣く
あはははははは★ 速攻意識失える。
何かの入試問題でこんなのあった気がする
tan1°を求める事無くこんな事できるのは凄いと言わざるをえないな
まず1→13→25・・・とおや12ずつ増えているみたい。と気づく。
とりあえずtan1°とおいてみる。上の気づきをもとに12ずつふえるように
bmをおいてみる。面倒だからtmもつくる。
そしたらおやおや。って感じ。特にひらめきが必要なポイントは15乗で一周して1になること。
だが本当の天才は図でとく。
熱々担々麺
サインコサインタンジェントって、数学のあれだよねくらいの知識のぼくには何の事だかさっぱり。
(゚Д゚≡゚Д゚)?
考えたら15倍角の公式途中で使うなら、そのままtan15θをtanθの15次方程式で表して
解と係数の関係を使ったほうが早いことに今頃気づきました。
ついでにcos1°cos13°・・・cos169°を微分して割った解をcos15°やsin15°で表す方法も加えて
時間がある時にまたTeXでPDFにしてアップします。
上に書いた15倍角そのままの解法と微分の解法です
ttp://www.dotup.org/uploda/www.dotup.org4654537.pdf
回答でましたね、15倍角の公式を導いて解と係数の関係から出し、
やはり答えは30-15√3でした
49はどうやって解こうとしたんでしょう
ttp://z1.zkai.jp/images/top/btn_answer_open_e2.jpg
お前らが何言ってるか分からない(´・ω・`)
やっぱ数学は若いときだよ。年取るとね、もう計算式を読む気すら起きない。
※61
cos(π-θ)=-cosθをtanと間違えた上でπ=170°って間違えたんじゃない?
それなら確かに85°のしか残らなくなる